
-
生物通官微
陪你抓住生命科技
跳动的脉搏
雄性小鼠中HIV-1 Tat表达可促进与年龄相关的神经内分泌、认知和行为共病
【字体: 大 中 小 】 时间:2022年08月01日 来源:Aging-US
编辑推荐:
一篇新的研究论文发表在《Aging》(“Aging (Albany NY)”由Medline/PubMed,“Aging- us”由Web of Science)第14卷第13期,题为“与年龄相关的神经内分泌、认知和行为共病由雄性小鼠的HIV-1 Tat表达促进”。
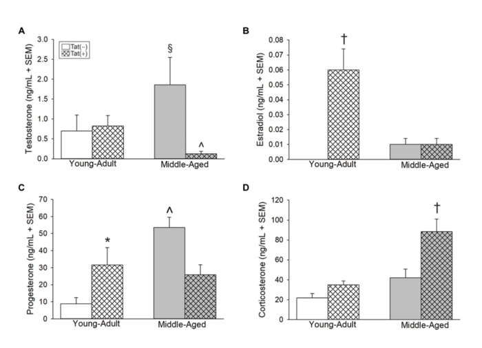
图片:图2。在年轻成年和中年HIV-1 Tat转基因雄性小鼠[Tat(+)]或其非表达Tat的年龄匹配小鼠[Tat(?)]中循环类固醇(ng/mL)。
“目前的工作提供了潜在的可操作的信息,可能有助于限制艾滋病病毒环境下的过早或加剧衰老。”
纽约布法罗- 2022年7月28日-一篇新的研究论文发表在《Aging》(Medline/PubMed“Aging (Albany NY)”,《Aging- us》由Web of Science出版)第14卷第13期,题为“与年龄相关的神经内分泌、认知和行为共病由雄性小鼠的HIV-1 Tat表达促进”。
在美国,大约有120万人感染了人类免疫缺陷病毒1型(HIV-1),其中男性占大多数(约75%)。大约一半的艾滋病毒感染者年龄在50岁以上。艾滋病毒感染者面临着与年龄有关的疾病和失调的加速发作;然而,加速衰老的病理生理机制尚不清楚。
虽然机制尚不清楚,但HIV-1反式转录激活因子(Tat)蛋白部分通过失调线粒体和神经类固醇形成破坏小鼠的神经内分泌功能。
来自密西西比大学和哈佛医学院麦克莱恩医院的研究人员Alaa N. Qrareya、Fakhri Mahdi、Marc J. Kaufman、Nicole M. Ashpole和Jason J. Paris调查了衰老和HIV-1 Tat表达对年轻成年(6-8个月)和中年(11-13个月)雄性小鼠神经hiv样后遗症发展的联合影响,以确定Tat是否会诱发与年龄相关的功能障碍。
“我们假设,与年龄匹配的对照组[Tat(?)]相比,中年雄性转基因小鼠[Tat(+)]的条件Tat表达将促进与年龄相关的共病。我们希望塔特能改变与行为缺陷相符的类固醇激素环境。”
与同龄对照组相比,中年Tat(+)小鼠的循环睾酮和孕酮水平较低,而循环皮质酮和中央同种异体孕酮水平高于其他组。年轻的Tat(+)小鼠有更大的循环孕酮和雌二醇-睾酮比例。老年或Tat暴露增加了类似焦虑的行为(开阔场地;高架+迷宫),认知错误增加(径向臂水迷宫),握力降低。年轻的Tat(+)或中年Tat(?)男性的机械伤害感受阈值高于同龄的同龄人。类固醇水平与行为相关。因此,Tat可能会导致hiv加速老化。
“总之,我们的数据表明,老年和Tat表达发挥独立和相互作用,加重神经内分泌、情感、认知和神经肌肉共病。新型类固醇替代疗法可能是老年HIV+人群中cART的有用辅助疗法。”
生物通微信公众号
知名企业招聘