
-
生物通官微
陪你抓住生命科技
跳动的脉搏
基于开源人工智能的临床影像头影测量预测工具CEPHCLINIC的开发与验证:一项减少辐射暴露的创新研究
【字体: 大 中 小 】 时间:2025年10月05日 来源:BMC Oral Health 3.1
编辑推荐:
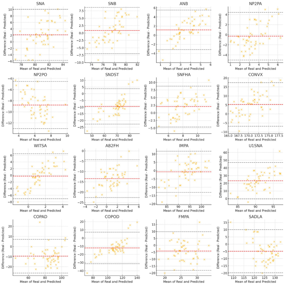
本研究针对传统头影测量分析依赖放射性影像的问题,开发了一款开源AI软件CEPHCLINIC,能够通过临床照片和口内扫描数据预测头影测量参数。研究采用1255例样本训练机器学习模型,在独立测试集上对ANB、NP2PA等参数取得了RMSE≤2.772°和2.317mm的预测精度,显著降低了辐射暴露风险,为无辐射头影测量提供了新方案。

生物通微信公众号
知名企业招聘