
-
生物通官微
陪你抓住生命科技
跳动的脉搏
多囊卵巢综合征患者血浆phoenixin-14、galanin、galanin样肽及spexin水平的评估及其诊断价值研究
【字体: 大 中 小 】 时间:2025年09月25日 来源:Irish Journal of Medical Science (1971 -) 1.7
编辑推荐:
本研究针对多囊卵巢综合征(PCOS)神经内分泌病因机制不清的问题,通过检测血浆中phoenixin-14、galanin(GAL)、galanin样肽(GALP)和spexin四种神经肽水平,发现PCOS患者phoenixin-14显著升高而GAL和spexin显著降低,三肽联合诊断AUC达0.910,为PCOS中枢病因探索提供了新的生物标志物和诊断思路。
多囊卵巢综合征(PCOS)作为一种常见的内分泌疾病,影响着全球大量育龄妇女的健康。尽管其诊断标准(鹿特丹标准)已相对明确,但该病的发病机制仍笼罩在迷雾之中。特别是中枢神经肽分泌紊乱在PCOS发生发展中的作用,已成为近年来研究的热点。传统观点认为PCOS主要涉及卵巢功能障碍和代谢异常,但越来越多的证据表明,下丘脑-垂体-卵巢轴(HPG轴)的功能失调,尤其是促性腺激素释放激素(GnRH)神经元异常激活,可能是导致PCOS的关键神经内分泌因素。这种异常激活会导致黄体生成素(LH)脉冲频率增加,进而引起卵巢功能障碍和排卵异常。
然而,中枢神经肽如何参与PCOS的发病过程?这些肽类物质能否从大脑进入外周循环?它们在PCOS患者体内的水平是否会发生改变?这些问题至今没有得到明确解答。更重要的是,血脑屏障(BBB)在PCOS状态下是否会发生改变,从而影响神经肽的运输,也是一个值得深入探讨的问题。为了解决这些科学问题,研究人员开展了一项创新性研究,旨在评估四种关键神经肽——phoenixin-14、galanin(GAL)、galanin样肽(GALP)和spexin在PCOS患者血浆中的水平变化,并探索其诊断价值。该研究结果发表在《Irish Journal of Medical Science (1971 -)》上,为理解PCOS的中枢机制提供了新的见解。
研究人员采用病例对照研究设计,招募了60名参与者(30名PCOS患者和30名健康对照)。通过酶联免疫吸附测定(ELISA)技术测量血浆中四种神经肽的浓度,使用ROC曲线分析评估其诊断性能,并采用多变量逻辑回归分析确定与PCOS独立相关的因素。
患者选择与血液采集
研究人员从Kafkas大学医学院妇科门诊筛选参与者,PCOS组根据鹿特丹标准诊断,对照组为健康志愿者。所有参与者均在月经周期第3天采集空腹血样,使用含K3EDTA/抑肽酶的生化管收集,离心后保存于-80°C直至分析。
激素和生化参数测量
使用化学发光酶免疫分析法测定血清雌二醇、FSH、LH、硫酸脱氢表雄酮(DHEAS)、胰岛素、总睾酮和泌乳素水平。生化参数包括空腹血糖(FBG)、低密度脂蛋白胆固醇(LDL-C)、高密度脂蛋白胆固醇(HDL-C)、甘油三酯(TG)、总胆固醇(TC)和高敏C反应蛋白(hs-CRP),均使用自动化分析仪测量。胰岛素抵抗通过HOMA-IR公式计算。
神经肽水平的ELISA测量
使用商业ELISA试剂盒测定血浆中phoenixin-14、GAL、GALP和spexin水平,所有操作严格按照说明书进行,使用自动洗板机和酶标仪进行洗涤和吸光度读数。
统计分析方法
使用Shapiro-Wilk检验进行正态性检验,连续变量根据分布情况采用独立样本t检验或Mann-Whitney U检验,分类变量使用卡方或Fisher精确检验。采用ROC曲线分析确定神经肽的判别性能,通过多变量逻辑回归分析确定与PCOS独立相关的因素。
患者特征和实验室测量结果
PCOS组和对照组在年龄、BMI、抗氧化剂使用、吸烟状况、饮酒和婚姻状况方面无显著差异。PCOS组的血清LH、总睾酮和胰岛素水平显著高于对照组,HOMA-IR也显著升高。对照组血清LDL和HDL浓度显著高于PCOS组。两组在雌二醇、DHEAS、FSH、泌乳素、葡萄糖、CRP、总胆固醇和甘油三酯水平方面无显著差异。
血浆神经肽水平比较
血浆phoenixin-14水平在PCOS组显著高于对照组,而spexin和GAL水平显著降低。血浆GALP水平在两组间无显著差异。

相关性分析
GALP与年龄呈低度负相关,与CRP呈低度正相关。phoenixin-14与年龄、FSH、LH和总睾酮水平呈显著正相关,与LDL、HDL和胰岛素水平呈显著负相关。GAL与年龄和FSH水平呈低度负相关,与HDL和CRP水平呈低度正相关。
诊断性能分析
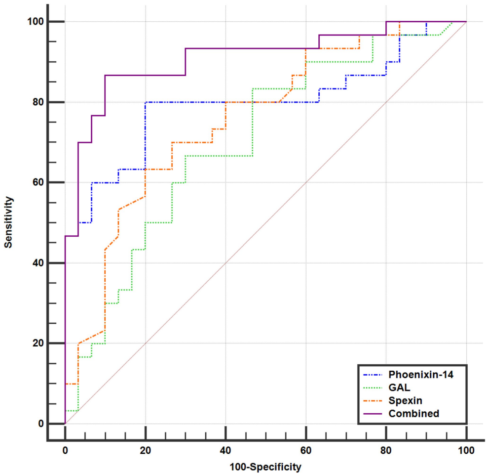
phoenixin-14以551.4 pg/mL为临界值(较高值代表PCOS),区分PCOS的敏感性和特异性均为80.0%;GAL以38.2 ng/L为临界值(等于或较低值代表PCOS),敏感性66.7%,特异性70.0%;spexin以254.4 pg/mL为临界值(等于或较低值代表PCOS),敏感性63.3%,特异性80.0%。三者联合时敏感性和特异性分别为86.7%和90.0%,AUC为0.910。

多变量逻辑回归分析
高LH、高phoenixin-14水平以及低GAL和低spexin水平与PCOS独立相关。年龄、FSH、LDL-C、HDL-C和胰岛素等其他变量未显示显著性。
研究结果表明,PCOS患者血浆中phoenixin-14、GAL和spexin水平与健康对照组存在显著差异,这些神经肽可能参与了PCOS的中枢病因机制。phoenixin-14与血清LH、FSH、睾酮和胰岛素的相关性,以及GAL与FSH的相关性,支持这些神经肽与PCOS代谢和激素变化之间的关联。
除了GALP外,其他三种神经肽在定义的临界值水平对PCOS具有有效的诊断准确性。当phoenixin-14、GAL和spexin的诊断性能相结合时,它们显示出比单个神经肽更好的PCOS预测性能。多变量逻辑回归分析显示,高LH和phoenixin-14水平以及低GAL和spexin水平与PCOS独立相关,表明这些神经肽可能在PCOS的中枢病因中发挥作用。
该研究的重要发现在于,PCOS患者中某些中枢肽的血浆水平高于健康对照组,这表明PCOS可能影响血脑屏障的完整性。PCOS的慢性炎症性质及其对内皮功能障碍的触发作用可能会破坏血脑屏障完整性,增加中枢肽向系统循环的释放。
这项研究首次同时检测了四种中枢神经肽在PCOS中的变化,为理解PCOS的神经内分泌机制提供了重要线索。三种神经肽联合诊断的高准确性表明,多种生物标志物的组合可能为PCOS的诊断提供新途径。未来需要在更大的患者系列中进行中枢神经肽血浆水平的多次测量,以更好地理解PCOS的病因。虽然目前诊断PCOS不需要额外的生物标志物,但测量血浆中的中枢神经肽水平对于提供关于PCOS中枢病因的新信息具有重要意义。
生物通微信公众号
知名企业招聘