
-
生物通官微
陪你抓住生命科技
跳动的脉搏
血浆代谢物与子宫内膜癌的因果之谜:孟德尔随机化研究的颠覆性发现
【字体: 大 中 小 】 时间:2025年09月28日 来源:Discover Oncology 2.9
编辑推荐:
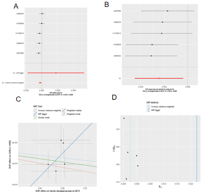
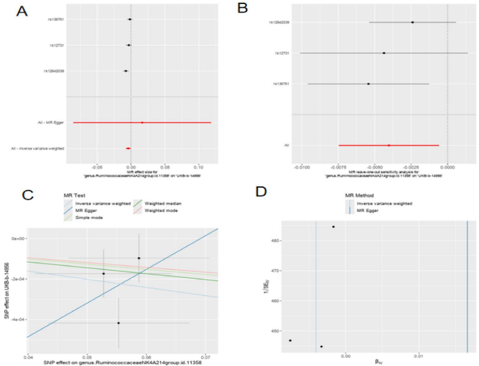
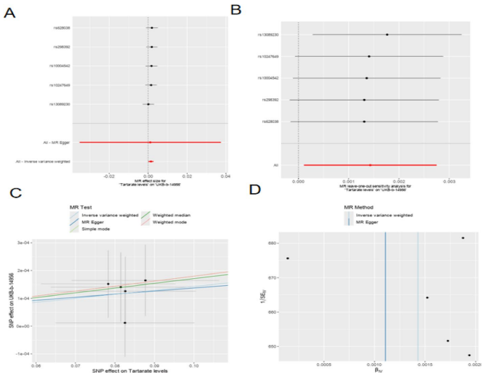
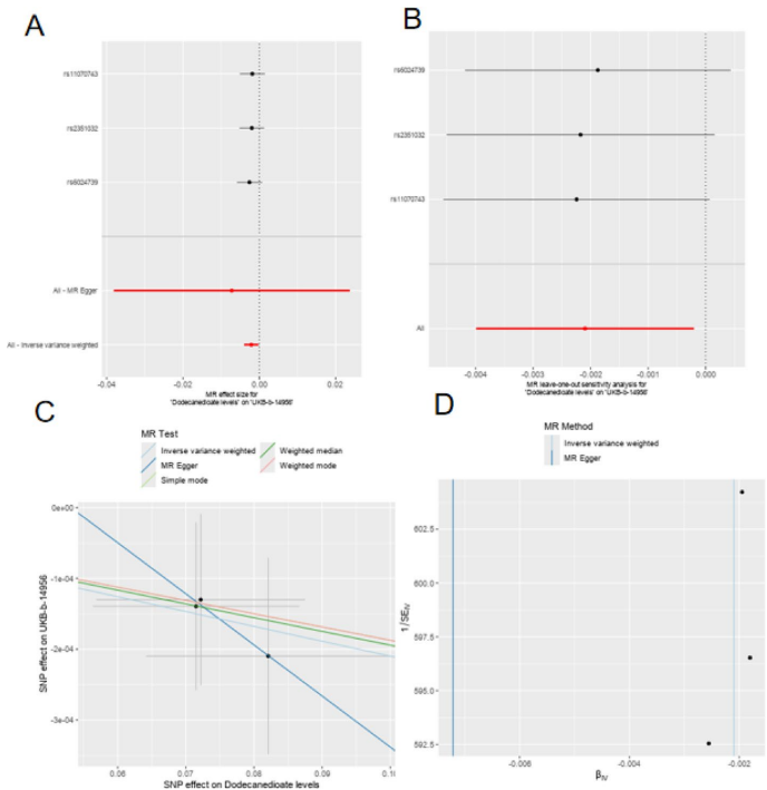
本刊推荐:为解决肠道菌群组成、代谢组学改变与子宫内膜癌风险间因果关系不明的问题,研究人员开展了一项全面的两样本孟德尔随机化(MR)分析。研究利用最大可用全基因组关联研究(GWAS)的遗传工具变量,系统评估了特定肠道微生物分类群(如Alcaligenaceae科、Ruminococcaceae NK4A214和UCG014组)及40多种循环代谢物(包括氨基酸、脂质、维生素和脂肪酸)与子宫内膜癌风险的因果关系。结果表明,未发现显著因果关联,多方法验证均显示效应估计值接近零。这项研究提供了反对肠道微生物组组成、循环代谢组谱与子宫内膜癌风险间存在直接因果关系的强遗传证据,对理解疾病机制具有重要意义。






生物通微信公众号
知名企业招聘